cas:464926-03-2 MVL5(不可降解的多价阳离子脂质)
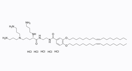
cas:464926-03-2 MVL5(不宜降解塑料的多价阳阴离子脂质)MVL5 就是种不能不光降解的多价阳铁离子脂质。MVL5 就是种**的 DNA 和 siRNA 的载体。用英语公司名称:MVL5氧分子量:1164.86相对性状:Oil氧化学结构式:C59H116Cl5N7O4cas:464926-03-2装运配送條件:常温下装运配送存储方试4°C,密封带店铺,避免寒湿在相转移催化剂中:-80°C,6六个月-20°C,1六个月(密闭储藏,避开水分)节构式

磷脂(Phospholipid),也称磷脂类、磷脂质,是指含有磷酸的脂类,属于复合脂。磷脂是组成生物膜的主要成分,分为甘油磷脂与鞘磷脂两大类,分别由甘油和鞘氨醇构成。磷脂为两性分子,一端为亲水的含氮或磷的头,另一端为疏水(亲油)的长烃基链。由于此原因,磷脂分子亲水端相互靠近,疏水端相互靠近,常与蛋白质、糖脂、胆固醇等其它分子共同构成磷脂双分子层,即细胞膜的结构。


pg电子娱乐游戏app
微信公众号
官方微信