06:0 PC-d22|1,2-dihexanoyl-d22-sn-glycero-3-phosphocholine磷脂
06:0 PC-d22|1,2-dihexanoyl-d22-sn-glycero-3-phosphocholine磷脂
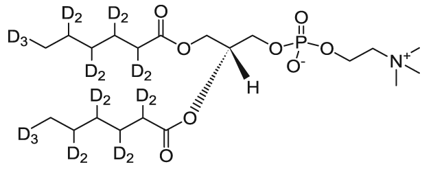
成商品称呼称:06:0 PC-d22|1,2-dihexanoyl-d22-sn-glycero-3-phosphocholine美观:粉末状或介质标签印刷:罐装/包装袋溶解度性:溶解于大部件可挥发石油醚应用领域:科学研究型式式:


pg电子娱乐游戏app
微信公众号
官方微信