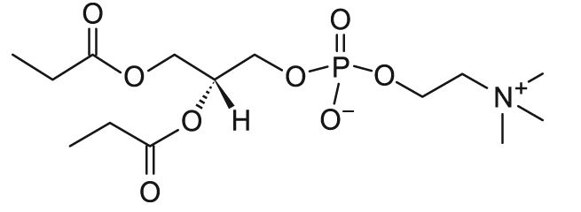
03:0 PC|1,2-dipropionyl-sn-glycero-3-phosphocholine|PC磷脂
03:0 PC|1,2-dipropionyl-sn-glycero-3-phosphocholine|PC磷脂软件名字大全:07:0 PC (DHPC)|1,2-diheptanoyl-sn-glycero-3-phosphocholine饱和度:95%+存贮因素:-20°C外貌:固态物体或液态设计:单瓶/整袋分解性:不溶大环节无机石油醚应用领域:成果转化磷脂(phospholipid)由C、H、O、N、P五大原子包含,是生物体膜的必要包含一部分,其基本特征是在水解反应后行成富含食用油酸和磷酸的质量分数物。利用磷脂的主链格局分类磷酸甘食用油和鞘磷脂。机构式



pg电子娱乐游戏app
微信公众号
官方微信