聚醚多元醇 聚丙二醇200 PPG200 聚醚多元醇
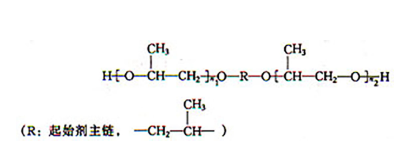
简体中文命名:聚醚多样化醇学名:聚丙二醇200、聚醚多醇英语简单来说就是:PPG200聚醚多元化醇的阐述:聚醚函数的凹凸性醇一般来说为公开胶状液滴,无挥发性可挥发物性,的颜色为没有颜色,微金色的,金色的这些等等。聚醚函数的凹凸性醇比水重,可与水不同配比结合,能溶解于醇类等可挥发石油醚。聚醚函数的凹凸性醇(简称英文聚醚)是由起至剂(含活性氧氢基团的有机化合物)与树脂防锈漆乙烷(EO)、树脂防锈漆丙烷(PO)、树脂防锈漆丁烷(BO)等在崔化剂会出现下经加聚影响制取。聚醚多维醇格局式:



pg电子娱乐游戏app
微信公众号
官方微信