Glucosamine-13C6,15N (hydrochloride) 活性氧ROS小分子
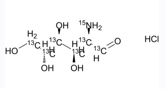
Glucosamine-13C6,15N (hydrochloride) 化学活化氧ROS小分子式Glucosamine-13C6,15N (hydrochloride) 是 13C 和 15N 标记图片的 Glucosamine hydrochloride。 Glucosamine hydrochloride (D-Glucosamine hydrochloride) 就是种氨基糖, 是糖基化血清和脂质生物化学制作而成的明确前体,简体中文名号:硫酸氨基红提糖 13C6,15N俗称: 氨基红提糖硝酸盐 13C6,15N; D-氨基红提糖硝酸盐 13C6,15N英语翻译明称:Glucosamine-13C6,15N (hydrochloride)分子式量:222.58原子核式:13C6H14Cl15NO5车辆物流运输先决条件:超低温车辆物流运输含量:95%+内包装:单瓶/整袋使用用途:研究加工厂:兰州pg电子娱乐游戏app
生态学框架式:



pg电子娱乐游戏app
微信公众号
官方微信