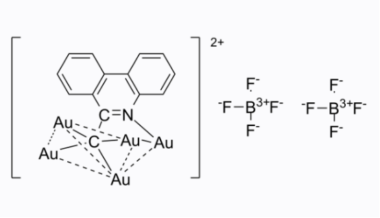
活性氧PAA5 分子量1348.66(一种以甲基化物碳为中心的多核Au(I)簇)
生物氧PAA5 分子结构量1348.66(某种以甲基化物碳为公司的多核Au(I)簇)PAA5 有的是种以甲基化物碳为机构的多核 Au(I) 簇。国外英语名稱:PAA5原子量:1348.66团伙式:C14H8Au5B2F8N2-车辆的条件:常溫车辆色度:95%+封装:罐装/整袋作用:教学科研厂家直销:上海pg电子娱乐游戏app
生物工程组成式:



pg电子娱乐游戏app
微信公众号
官方微信