Maresin 1-d5活性氧簇 分子量:365.52(西安pg电子娱乐游戏app
生物供应)
Maresin 1-d5亲水性氧簇 分子结构量:365.52(山东pg电子娱乐游戏app
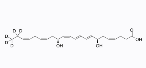
动物制造)英语标题:Maresin 1-d5活性酶类氧簇英文音标名字:Maresin 1-d5原子核量:365.52原子式:C22H27D5O4搬家條件:常温状态搬家保存形式:4°C,填料密封存储,避开水气和对光在容剂中:-80°C,6个月时间-20°C,4个月时间(胶封贮存,离寒湿和太阳光)组成式:



pg电子娱乐游戏app
微信公众号
官方微信