Biotin-PEG4-S-S-NHS 1260247-51-5 修饰性PEG
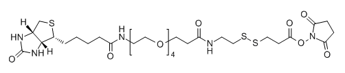
常规新信息:英文怎么说英文名字称:Biotin-PEG4-S-S-NHSCAS No.:1260247-51-5物品溶解度:≥95%化学式式:C30H49N5O11S3格局式:



pg电子娱乐游戏app
微信公众号
官方微信