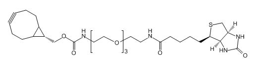
BCN-endo-PEG3-Biotin 1263166-92-2 (1R,8S,9S)-双环[6.1.0]壬-三聚乙二醇-生物素
总体消息:中文字幕标题:(1R,8S,9S)-双环[6.1.0]壬-三聚乙二醇-生态学素英文字母命名:BCN-endo-PEG3-BiotinCAS No.:1263166-92-2英文音标俗称:BCN-PEG3-Biotinendo-BCN-PEG3-Biotin产品设备溶解度:≥95%原子式:C29H46N4O7S组成部分式:

![BCN-endo-PEG3-Biotin 1263166-92-2 (1R,8S,9S)-双环[6.1.0]壬-三聚乙二醇-生物素-UDP糖丨MOF丨金属有机框架丨聚集诱导发光丨荧光标记推荐西安pg电子娱乐游戏app
生物](/images/logo.png)

pg电子娱乐游戏app
微信公众号
官方微信