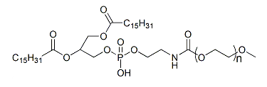
mPEG-DPPE 205494-72-0 甲氧基聚乙二醇-二棕榈酰磷酯酰乙醇胺
常见的信息:2英文英文名称:甲氧基聚乙二醇-二棕榈酰磷酯酰甲醇胺英文字母种类:mPEG-DPPECAS No.:205494-72-0企业产品纯净度:≥95%软件表述:PEG具象化物统称PEG(聚乙二醇)装饰剂,装饰性PEG等。是含带官能团的PEG,现今最主要代替蛋清质口服药装饰,以加入休内半衰期,降天然免疫原性,一起还能够加入口服药的水溶解性。溶解度:≥95%手机存储要求:-20°冷冻冰箱存放,惰性有毒气体爱护取出:现配在用结构类型式:



pg电子娱乐游戏app
微信公众号
官方微信