Mal-PEG6-COOH 518044-42-3 PEG衍生物
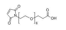
大致内容:英语名字大全:Mal-PEG6-COOHCAS No.:518044-42-3品牌纯净度:≥95%团伙式:C19H31NO10企业产品表述:PEG诞生物统称PEG(聚乙二醇)呈现剂,呈现性PEG等。是带异官能团的PEG,阶段其主要于血清质治疗药品呈现,以增强身体里半衰期,降低免疫系统原性,一并还需要增强治疗药品的水可溶。溶解度:≥95%手机存储能力:-20°制冷保持,惰性甲烷气体保护的倒取:现配使用设计式:



pg电子娱乐游戏app
微信公众号
官方微信