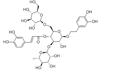
ROS活化氧Echinacoside,松果菊苷,CAS:82854-37-3
国外英语名稱: ECHINACOSIDE中文版各称: 松果菊苷MF: C35H46O20MW: 786.73CAS: 82854-37-3

Catalase from Aspergillus niger
Chitoheptaose heptahydrochloride


pg电子娱乐游戏app
微信公众号
官方微信