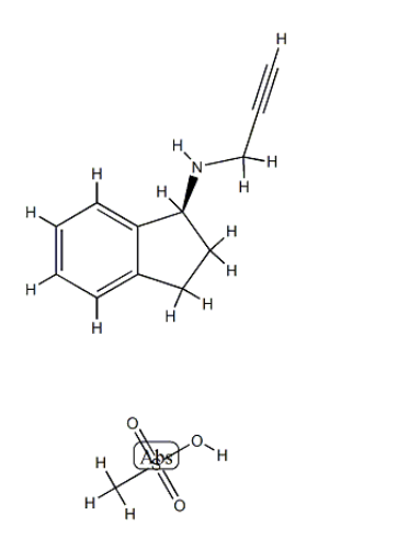
(S)-Rasagiline mesylate Cas号:202464-88-8 甲磺酸雷沙吉兰手性异构体 活性氧抑制剂
(S)-Rasagiline mesylate别称:甲磺酸雷沙吉兰手性异构体Cas号:202464-88-8物理化学概念:化学结构式式:C13H17NO3S凝固点:原子核量:267.34纯净度:≥99%处理状况:2-8°C,隔绝,缺水厂家直销商:兰州pg电子娱乐游戏app
生物体科技信息有局限工厂原产地:广州设计式:



pg电子娱乐游戏app
微信公众号
官方微信