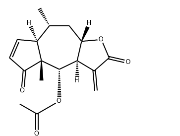
活化氧锦菊素,Bigelovin,CAS:3668-14-2,分子式C17H20O5
中文翻译简称锦菊素中文名字同义词锦菊素用英语称呼bigelovin英文字母同义词bigelovinCAS号3668-14-2原子式C17H20O5分子式量304.34服务商:银川pg电子娱乐游戏app
海洋生物科枝有局限我司



pg电子娱乐游戏app
微信公众号
官方微信