1-3代铂类制剂的分解规划大库存盘点
陕西pg电子娱乐游戏app 生物学自动化有限制的机构保证所有石墨稀、钙钛矿、量子点、微米技术粒子、空穴发送的的材料、微米技术晶、半导体技术聚苯胺物、超原子核的的材料、接合塑料针对物、化学上实验试剂等一类型企业产品。
下部介紹这些铂类制剂的生成规划:
1代. 顺铂(DDP)的组成路线地图:

2代卡铂(CBP)的合并交通路线
2代卡铂(CBP),二代铂药。结构上以环丁烷二羧酸取代顺铂分子上的两个氯离子,增加了化合物的水溶性。特点如下:(1)化学稳定性好,水溶性是顺铂的17倍; (2)卡铂与顺铂具有相同的载体基团,
分解成路线图:

2代奈达铂
结构上以乙醇酸取代顺铂分子上的两个氯离子,溶出度大约是顺铂的10倍,功用比顺铂好,。那种人工自驾路线以下几点

环硫铂(SHP)
代与铂类药,目的与顺铂同类,
3代:奥沙利铂/草酸铂(L-OHP)——草酸 -( 反式 -1-1,2 - 环己烷二胺 ) 合铂的中文名称,用于一个保持稳定的、水无水磷酸氢铂类烷化剂,一个分解成路线规划以下的:

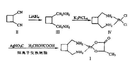
3代洛铂——二氨甲基 - 环丁烷 -乳酸合铂。属于人工路线图有以下几点:

| 产品名称 | cas | 纯度 |
Gemcitabine hydrochloride | 122111-03-9 | 含量98+ |
Palbociclib isethionate | 827022-33-3 | 含量98+ |
Vincristine sulfate | 2068-78-2 | 溶解度98+ |
Acalabrutinib | 1420477-60-6 | 饱和度98+ |
Cytarabine | 147-94-4 | 色度98+ |
Z-DEVD-FMK | 210344-95-9 | 含量98+ |
Brigatinib | 1197953-54-0 | 纯净度98+ |
Torin 1 | 1222998-36-8 | 纯净度98+ |
GANT 61 | 500579-04-4 | 溶解度98+ |
Roscovitine | 186692-46-6 | 含量98+ |
Birinapant | 1260251-31-7 | 饱和度98+ |
GSK2795039 | 1415925-18-6 | 饱和度98+ |
SC79 | 305834-79-1 | 纯净度98+ |
LY2606368 | 1234015-52-1 | 饱和度98+ |
Pifithrin-α hydrobromide | 63208-82-2 | 溶解度98+ |
Cyclophosphamide | 50-18-0 | 纯净度98+ |
Entinostat | 209783-80-2 | 纯净度98+ |
Ganetespib | 888216-25-9 | 饱和度98+ |
GDC-0994 | 1453848-26-4 | 溶解度98+ |
INNO-206 | 1361644-26-9 | 饱和度98+ |
AZD3965 | 1448671-31-5 | 饱和度98+ |
AZD-8055 | 1009298-09-2 | 含量98+ |
环巴胺 | 4449-51-8 | 饱和度98+ |
Bleomycin sulfate | 9041-93-4 | 纯净度98+ |
GSK 525762A | 1260907-17-2 | 含量98+ |
Triptolide | 38748-32-2 | 饱和度98+ |
Ko 143 | 461054-93-3 | 含量98+ |
Methotrexate | 59-05-2 | 溶解度98+ |
GSK343 | 1346704-33-3 | 溶解度98+ |
SAR405 | 1523406-39-4 | 溶解度98+ |
Volasertib | 755038-65-4 | 溶解度98+ |
ALW-II-41-27 | 1186206-79-0 | 饱和度98+ |
BI 2536剂 | 755038-02-9 | 饱和度98+ |
Nutlin 3a | 675576-98-4 | 纯净度98+ |
Quizartinib | 950769-58-1 | 纯净度98+ |
LY2109761 | 700874-71-1 | 溶解度98+ |
PF-06463922 | 1454846-35-5 | 纯净度98+ |
Gilteritinib | 1254053-43-4 | 饱和度98+ |
UK-5099 | 56396-35-1 | 溶解度98+ |
Erlotinib hydrochloride | 183319-69-9 | 溶解度98+ |
MC-Val-Cit-PAB-MMAE | 646502-53-6 | 溶解度98+ |
罗米地辛 | 128517-07-7 | 饱和度98+ |
BPTES | 314045-39-1 | 溶解度98+ |
Capsazepine | 138977-28-3 | 含量98+ |


pg电子娱乐游戏app
微信公众号
官方微信