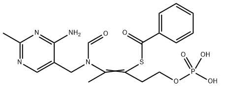
活化氧Benfotiamine,苯磷硫胺,CAS:22457-89-2
简体中文名字字苯磷硫胺英文版同义词苯磷硫胺(5KG;S-苯甲酰基硫胺O-单磷酸酯用英语标题Benfotiamine用英文怎么说同义词benzoylthiamineo-monophosphateCAS号22457-89-2氧分子结构C19H23N4O6PS原子核量466.45

PAR2 (1-6) amide (human) (trifluoroacetate salt)
Pelargonidin 3-O-glucoside (chloride)
Peonidin 3-O-glucoside (chloride)
Pentafluorobenzenesulfonyl fluorescein


pg电子娱乐游戏app
微信公众号
官方微信