Cas号:196808-24-9 GW1929 活性氧分子
GW1929
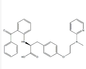
别名:N-(2-苯甲酰基苯基)-O-[2-(甲基-2-吡啶基氨基)乙基]-L-酪氨酸
Cas号:196808-24-9物理规定性:碳原子式:C30H29N3O4沸点:原子核量:495.57存贮具体条件:2-8°C,隔绝,低温干燥产于:石家庄外包装: 罐装成分式:


pg电子娱乐游戏app
微信公众号
官方微信