BS3 Cross linker(diso dium),127634-19-9的介绍
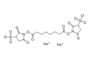
用英文怎么说名号: BS3英文版名字大全: 双虎珀酰亚胺辛二酸酯钠盐MF: C16H18N2Na2O14S2MW: 572.43CAS: 127634-19-9



pg电子娱乐游戏app
微信公众号
官方微信