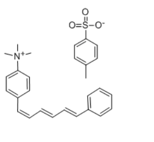
115534-33-3,TMA-DPH(疏水膜荧光探针)是一种典型的疏水膜荧光探针
英语怎么说公司名称: TMA-DPH汉语命名: TMA-DPH膜电极电位荧光检测器MF: C28H31NO3SMW: 461.62CAS: 115534-33-3



pg电子娱乐游戏app
微信公众号
官方微信