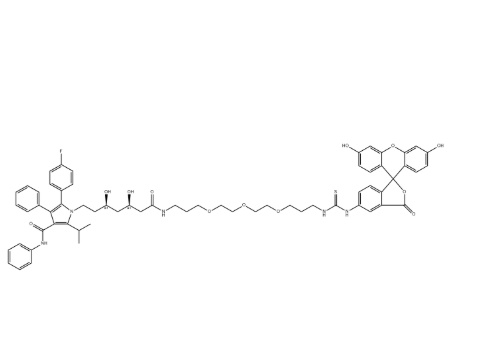
Atrovastatin-PEG3-FITC,1440755-31-6的介绍
日文名字大全: 1H-Pyrrole-1-heptanamide, N-[15-[(3',6'-dihydroxy-3-oxospiro[isobenzofuran-1(3H),9'-[9H]xanthen]-5-yl)amino]-15-thioxo-4,7,10-trioxa-14-azapentadec-1-yl]-2-(4-fluorophenyl)-β,δ-dihydroxy-5-(1-methylethyl)-3-phenyl-4-[(phenylamino)carbonyl]-, (βR,δR)-繁体中文种类: Atrovastatin-PEG3-FITCMF: C64H68FN5O12SMW: 1150.33CAS: 1440755-31-6



pg电子娱乐游戏app
微信公众号
官方微信