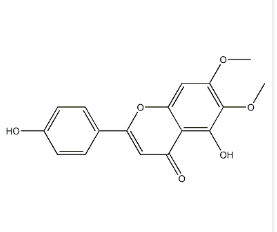
活性氧簇 Cas号:6601-62-3 Cirsimaritin 蓟黄素
Cirsimaritin
别名:蓟黄素
Cas号:6601-62-3有机化学性能:团伙式:C17H14O6沸点:分子式量:314.29包装箱: 成瓶含量:≥97%存放环境:20℃,干热,密闭机构式:


pg电子娱乐游戏app
微信公众号
官方微信