cas:1001015-18-4 CORM-401 活性氧抑制剂
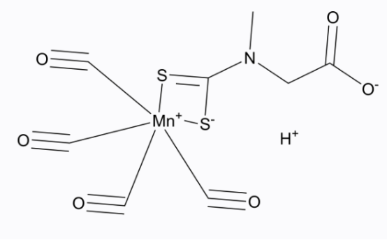
cas:1001015-18-4 CORM-401 渗透性氧仰药物英文怎么说标题:CORM-401原子量:331.2遗传性状:Solid分子结构式:C8H6MnNO6S2cas:1001015-18-4搬家的条件:低温搬家店铺模式:粉状-20°C 6年在石油醚中-80°C 6个月时间;-20°C 一月时间CORM-401 就是种对脱色剂铭感的 CO 释放出来碳原子。CORM-401 促进内皮钙4g信号缓解中的 NO 扩大。CORM-401 下降 TNF-α/CHX 和 H2O2 促进的 ROS 呈现。CORM-401 解耦线粒体呼吸道并治理和改善糖酵解。的化学结构式:



pg电子娱乐游戏app
微信公众号
官方微信