Cas号:897383-62-9 Allitinib 抗氧化小分子
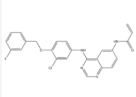
Allitinib俗称:Cas号:897383-62-9化学规定性:分子结构式:C24H18ClFN4O2沸点:大分子量:448.88格局式:



pg电子娱乐游戏app
微信公众号
官方微信