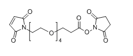
Mal-PEG4-NHS 1325208-25-0 马来酰亚胺-4聚乙二醇-活性酯
通常企业信息:日文简称:Mal-PEG4-NHSCAS No.:1325208-25-0产品的溶解度:≥95%原子核式:C19H26N2O10构成式:



pg电子娱乐游戏app
微信公众号
官方微信