Mal-PEG6-OtBu 518044-37-6 PEG衍生物
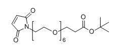
常规信息查询:国外英文品牌:Mal-PEG6-OtBuCAS No.:518044-37-6英语怎么说俗称:Mal-PEG6-CH2CH2COOtBu货品含量:≥95%氧分子结构:C23H39NO10构造式:



pg电子娱乐游戏app
微信公众号
官方微信