Biotin-PEG6-NH-Mal 1808990-66-0 PEG衍生物
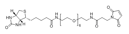
软件分析:PEG绘制剂伴根据年均原子量的不一,特点就有性别差异。从结晶体无臭稠状物质至蜡状物质。伴根据原子量的提升,其透湿功能相关的缩减。 常见消息:英语种类:Biotin-PEG6-NH-MalCAS No.:1808990-66-0成品纯净度:≥95%氧分子结构:C31H51N5O11S节构式:



pg电子娱乐游戏app
微信公众号
官方微信