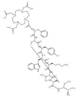
204318-14-9,DOTA-「Tyr3」-Octreotide,DOTA-(酪氨酸3)-奥曲肽
惯用名 依多曲肽 英文翻译名 DOTA-(Tyr3)-Octreotide acetate saltCAS号 204318-14-9 大分子量 1421.64000强度 1.46g/cm3



pg电子娱乐游戏app
微信公众号
官方微信