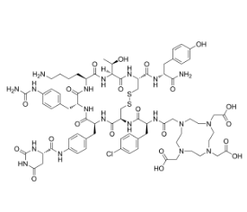
1039726-31-2,DOTA-JR-11能够特异性结合靶细胞表面的受体
实用名 DOTA-JR11 国外英文名字 DOTA-JR11CAS号 1039726-31-2 分子式量 1689.27



pg电子娱乐游戏app
微信公众号
官方微信