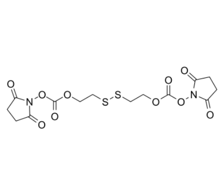
常用名 NHS-PEG1-SS-PEG1-NHS
英文名 Bis(2,5-dioxopyrrolidin-1-yl) (disulfanediylbis(ethane-2,1-diyl)) dicarbonate
CAS号 1688598-83-5
分子量 436.41
分子式 C14H16N2O10S2

NHS-S-S-NHS 有的是种用途性双吸附性酯原子核式,其空间结构由的两个 N-羟基虎珀酰亚胺(NHS)酯借助可呈现二硫键(–S–S–)接入而成。该原子核式整合了 NHS 酯的高症状性和二硫键的可以操控的崩裂形态,是构筑有机化学交联剂、用途用料及多原子核式采集体系的更重要有机化学生产工具。生物学性能指标层面,NHS-S-S-NHS 的所有 NHS 酯端都能与含胺基的氧大原子核效率高益反馈,造成稳固的酰胺键,建立共价化学交连或用途化体现。二硫键的现实存在使接入的三个氧大原子核或文件在呈现因素下人工控制脱落,适宜于可逆反应化学交连管理体制或人工控制挥发管理体制的打造。类似这些多样的双用途结构类型使 NHS-S-S-NHS 才能在汇聚物、纳米技术粉末、面体现及及多氧大原子核管理体制中建立效率高益、人工控制的用途化。初中物理有机化学上本质方便,NHS-S-S-NHS 一般 为灰白色至淡淡的黄色色混合物,溶于于二甲基亚砜(DMSO)、乙腈和甲醇等正负有机有机化学萃取剂,但在泥中易蛋白质水解。团伙对光和热强烈,放置需超低温遮光,并在缺水的环保中存放,以能维持 NHS 酯的渗透性。有机化学上相对稳界定中等,缺水的条件下可长远存放,但应预防强恢复原剂或强酸强碱碱环保,为防二硫键或 NHS 酯副响应。在工能力素质中,NHS-S-S-NHS 被密切适用于多氧原子核保障保障体系建设的热塑和用途化。保证 胺基与 NHS 酯影响,可保证 营养物质质、缩聚物或微米小粒的维持共价联系。二硫键的可以控制 裂开基本特性使其在建立可逆转热塑保障保障体系建设或可以控制 释放出来保障保障体系建设中愈加更重要,列举在自装配村料、缩聚物网上和微米质粒载体中用。其双用途端结构特征可在某个氧原子核至时作适用于的两个联系位点,出示能力素质率、多用途的药剂学方法能力素质。对各位:山东pg电子娱乐游戏app
生物学社会不足品牌生产经营的服务分类包扩有:食材药、遏剂型、纯天然产品、COF、MOF单个类型:三蝶烯繁衍物学、金刚烷繁衍物学、四苯丁烷繁衍物学、多胺类型、多醛类型、联吡啶繁衍物学、卟啉繁衍物学、苯乙炔繁衍物学等;遏剂型&颜料;食材药及中体;OLED光学装修材料单个类型:共轭苯繁衍物学、咔唑、噻吩、苯并呋喃和苝/萘酐繁衍物学等;聚酰亚胺类型:聚酰亚胺、二胺和二酐;有机物硅类型:单个、有抹除剂、保护性剂和偶联剂等;可光整合液晶显示器小分子式等。关联个性化推荐:镁阴离子荧光测试探针,Mag-Fluo-4 AM碳水单质糖普通机械微生物培养基私人订制镶嵌CAS:869996-05-41425803-45-7,Cyclooctyne-O-NHS ester1167421-25-1,N6-「(2-Azidoethoxy)carbonyl」-L-lysineBiotin-C5-amine,115416-38-11454558-58-7,Bz-(Me)Tz-NHS1360467-41-9,NH2CH2CONH-Py2-Tetrazine144672-74-2,BODIPY 500/510 C1136233-53-9,Photobiotin 光敏生态学素