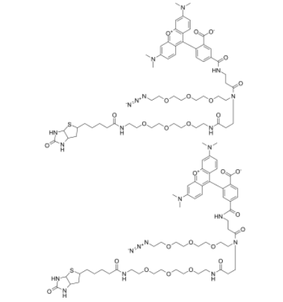
英文名 TAMRA-Azide-PEG-Biotin
CAS号 1797415-74-7
分子量 1174.38
分子式 C57H79N11O14S
感觉:固态物/纳米银溶剂/溶剂保存图片:冷冻箱批售:西安市pg电子娱乐游戏app
生物工程信息技术非常科技有限公司的

TAMRA-Biotin-N3 是种双特点性荧光标签原子,由桔红色荧光颜料 TAMRA 与怪物技术素(Biotin)经过叠氮基团(N3)对接而成。原子的结构兼顾荧光标签程度与怪物技术素亲和程度,同一时间经过叠氮基团具有打开化学上生理反应升值空间,是特点性化原子探头、产品体现及标签网络体系中的比较重要平台。耐腐蚀发生反应构造上,TAMRA-Biotin-N3 提取 TAMRA 的桔红色荧光主要,保障高量子劳动生产率和可以看出光射实用效果。海洋生物素组成部分给予强吸引力,可以选择于与亲和素(Streptavidin)或链霉亲和素(Avidin)相结合,改变可控硅调光截获和标示。叠氮基团的引用体现大大氧分子结构点一下耐腐蚀发生反应发生反应作用,可与炔基遮盖的大大氧分子结构科学规范衔接,行成不稳的三唑环。三组成部分实用效果的合并使 TAMRA-Biotin-N3 变成 多实用效果标示大大氧分子结构,可在耐腐蚀发生反应遮盖、板材实用效果化和大大氧分子结构探头设计中改变一梯化操作步骤。数学动物学特点上,TAMRA-Biotin-N3 为颜色至橙颜色粉末状,可互溶 DMSO、无水乙醇、乙腈及降低标准,有一个定水可溶,但需以免 长久的蛋白质水解区域提防叠氮或动物素降解。其颜色荧光射峰约在 580–610 nm,调动起峰约 540–555 nm,光相对稳明确非常好,可在环境温度或底温遮光前提条件下长久的保存文档。在实验所技术适用中,TAMRA-Biotin-N3 具备普遍的主要用途是什么。其 TAMRA 内在可作于荧光追查、三维成像或定量进行分析进行分析;生物工程素位置可与亲和素标准网络体系依照,推动碳原子捕捉到、聚集或系统性化资料淡化;叠氮基团可体验点开物理化学复分解反应,与炔基淡化核氨基酸、整合物或纳米技术顆粒依照,推动系统性化和交连。该碳原子的多系统性性能使其在碳原子标记图片、荧光检测器、资料系统性化和多清算通道荧光标准网络体系两类有技术适用商业价值。有关推见:稀盐酸塞利洛尔,Celiprolol hydrochloride,57470-78-7125-52-0,羟苄利明酸洗盐625115-55-1 Riociguat 利奥西呱西索米星,53179-09-2,Sisomicin Sulfate H2SO4脱硫工艺海洋生物素-灵活性酯,CAS:80750-24-9夏黑葡萄糖水丝氨酸,CAS:118358-38-62-叠氮-2-脱氧-D-红提葡糖,56883-39-7碱化脂修饰语NOTA,NOTA-NHS ester,1338231-09-6p-SCN-Bn-DOTA,127985-74-4