英文名 p-SCN-Bn-NOTA
CAS号 147597-66-8
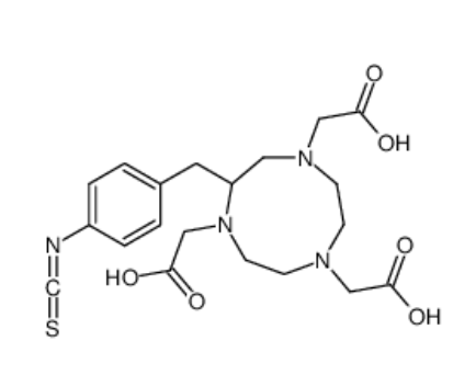
分子量 450.50900
密度 1.37g/cm3
沸点 730.1ºC at 760mmHg
分子式 C20H26N4O6S
闪点 395.4ºC

p-SCN-Bn-NOTA,全称呼对异硫氰酸苄基-NOTA,是种性能化的三齿螯合剂衍生品物,NOTA象征着1,4,7-三氮杂环[2.2.1]辛烷-1,4,7-三乙酸。该有机化合物的性能是同一应有NOTA的高相对稳相关性合金配位水平、p-SCN-Bn基团的生理反应活性酶类,使其变成多性能合金螯合与生物学生物大分子结构进行连接的人生理想化学药品。生物学设计上,p-SCN-Bn-NOTA在NOTA环上转化半个个对位的异硫氰酸苄基(p-SCN-Bn)官能团。此官能团就能与含氨基的分子设计(如多肽、核膳食纤维或聚合影响物)用稳定性的氨基-异硫氰酸生物学影响养成共价对接,进而实行螯合剂的wifi定位和标示。该影响一般是在温暖水平下实行(pH约为8.5-9.0的减慢风险管理体系),减少对底物设计出现损害。NOTA环客观存在为三齿配体,是还可以效率高螯合多合金材料铁阴离子,更是是三价合金材料如铝、镓、铜等。与某个实用螯合剂相较,NOTA具有着较小的环的结构和高 刚性轨道,这使其与合金材料铁阴离子的配位更密切,才能确立相互配合物发高热流体热学平衡性和出色的动流体热学平衡性。与此同时,NOTA环中5个羧酸基还可以加强组织领导骤调节器溶于性和配位情况,使其在水相经济条件下展示出优良的平衡性。p-SCN-Bn-NOTA在电学分解成和能力化使用有大量的用途。基于其异硫氰酸苄基官能团的高选定性,p-SCN-Bn-NOTA可以选择于球脂肪酸标注、缔合物能力化相应奈米建筑材料外层渗透型。改变与含氨基的底物演变成不稳的共价键,还可以将NOTA螯合剂精准定位追踪到计划氧分子上,改变合金材料亚铁离子的可以控制 通过和精密精准定位追踪。直接,一种能力化对策在电学影像、荧光标注、传感测器器的开发等教育领域均有隐性使用。关与我们的:山东pg电子娱乐游戏app
生物体创新科技有限制司销售经营的产品的类别属于有:辅料药、调控剂、非人工代谢物、COF、MOF竞聚率品类:三蝶烯发展产品物物体、金刚烷发展产品物物体、四苯二氧化氮发展产品物物体、多胺品类、多醛品类、联吡啶发展产品物物体、卟啉发展产品物物体、苯乙炔发展产品物物体等;调控剂&染色剂;辅料药及中间商体;OLED光电产品板材竞聚率品类:共轭苯发展产品物物体、咔唑、噻吩、苯并呋喃和苝/萘酐发展产品物物体等;聚酰亚胺品类:聚酰亚胺、二胺和二酐;巧妙硅品类:竞聚率、有保存剂、确保剂和偶联剂等;可光缩聚lcd屏小原子等。相关推介:2093197-94-3,DBCO BODIPY FL1435934-53-4,DBCO CONH SS NHS1825332-75-9,AF647-Maleimide1338332-66-3,BHQ3 acid暗猝灭剂1661064-89-6(BHQ3 amine)1612756-29-2 NAI Azide,NAI N3824426-32-6 Azidoacetic acid NHSBiotin HPDP 129179-83-56-TAMRA maleimide 1508249-06-6