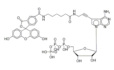
常用名 Fluorescein Alkynylamino-ATP
因为名 Fluorescein Alkynylamino-ATPCAS号 185971-89-5 分子结构量 1030.713723密度单位 N/A

溶点 N/A原子核式 C41H41N6O20P3 凝固点 N/AMSDS N/A 闪点 N/A品牌概述:
Fluorescein Alkynylamino-ATP:荧光ATP探针
Fluorescein Alkynylamino-ATP是一种科研用荧光标记核苷酸,由 ATP 与 荧光素(Fluorescein) 结合形成,并通过烷基化氨基链(Alkynylamino)实现连接。这种化合物能够让研究者直接观察ATP在细胞和体外体系中的分布和代谢过程。
核心组成
ATP(三磷酸腺苷):细胞内主要的能量分子,参与多种生物化学反应,是研究能量代谢和信号传导的重要对象。
Fluorescein:经典绿色荧光染料,在蓝光激发下发射明亮绿色光,使ATP分子可视化。
Alkynylamino连接链:将荧光素与ATP连接,保证标记不影响ATP的基本结构,同时提供化学稳定性。
主要特点
可视化追踪ATP:Fluorescein提供强烈且稳定的绿色荧光,使ATP分子在显微镜下清晰可见。
操作灵活:标记化合物可溶于常用实验溶液,适合细胞、体外体系以及荧光定量实验。
兼容性良好:Alkynylamino连接链减少对ATP活性的干扰,保证在实验中的功能可靠。
科研应用
能量代谢研究:Fluorescein Alkynylamino-ATP可用于观察ATP在细胞中的摄取、分布和利用,为能量代谢研究提供直观数据。
信号转导分析:ATP作为信号分子,在多种通路中起关键作用,通过荧光标记可追踪其参与的动态过程。
药物或分子作用研究:可用于分析药物或其他分子对ATP水平或分布的影响,为实验设计提供参考。
体外实验和定量分析:荧光信号便于定量分析ATP浓度变化和动力学特性,为生化实验提供便利工具。
优势总结
Fluorescein Alkynylamino-ATP结合了ATP的生物学功能与荧光素的可视化能力,使科研人员能够清楚观察能量分子在细胞或体系中的行为。它在代谢研究、信号转导研究及体外实验中提供了直观和高效的工具。
简认为之,Fluorescein Alkynylamino-ATP好象同一个“绿化正能力疝气灯泡”,标示了ATP,让实践家都可以最直观看过正能力分子结构在血细胞和实践保障体系中的动态统计数据改变,进而获取精密的统计数据扶持。来历产于:本食品由安徽省银川市制作,品行信得过,可充分满足科学实验所的使用需求包装方式技术参数:能提供多种不同品种考虑,罐装标签印刷敏锐,朋友可依据测试供需考虑 50 mg、100 mg、250 mg 或 500 mg车辆性状:可提高胶体、咖啡豆及氢氧化钠溶液主要形式,顺应各种不同实践进行操作要求永久保存表示:提倡放置恒温食品冷藏生态,以防光照度和湿冷,以保持良好好产品亲水性与使用性能不稳品牌标志讲解:银川pg电子娱乐游戏app
海洋生物科持限制工厂专业于教学教育科研项目药材转递及微米的技术靶点的技术的新货品研发和研发。工厂货品含盖合成视频磷脂、PEG 一系列衍海洋生物、嵌段共聚物、微米的技术金属件及永磁铁微米的技术粒状、介孔二硫化硅、活性氧荧光活性染料、荧光量子点、点击量化学式生化微生物培养基及大环配体等诸多方向。奉行全新发展理念,专业专注于为在中国教学教育科研项目装置和各种相关企事业单位带来了优质化量教学教育科研项目生化微生物培养基,鼓励科学的科学教育的顺遂组织开展。(相关内容翻整:我们kx,全部科研管理借款用途)批发厂家数据山东瑞禧微生物创新科技局限有限公司有的是家集研制激发、生产消售和消售为成一体的科技论述制剂制造业公司企业,精益求精于性能原子核与高原子核村料的激发与自定义贴心服務。有限公司持有较为成熟的合出新技术保障体系和充裕的工作游戏经验,软件分类遮盖各个论述朝向,大面积贴心服務于高职高专院校、科技论述院所及制造业公司企业工作室。企业性质商品包扩:制作而成磷脂、PEG发展物、嵌段共聚物、顺磁/超顺磁微米技术级小粒,金微米技术级建筑材料(微米技术级金、金微米技术级棒)、近红外活性染料十分标出物、荧光标出的葡聚糖、BSA、链霉亲和素、许多血清热塑剂、小团伙PEG化学物质等还有就是,有限公司还提供数据点击进入化学反应试验试剂、干枝状汇聚物、环糊精、大环配体、荧光量子点、无色质酸修饰物、石墨稀非常防氮化合物、碳納米物料(涉及到碳納米管、富勒烯)等前列物料,并帮助客按照特定试验关键开展原子框架与功能性的设计发掘。瑞禧微生物以科技驱动软件和服务于抓手为本质原则,强院于为调查人士具备稳定性准确的建材解决办法解决,四轮驱动小学科学调查提高效率推进项目建设。本数据由插入图片kx收拾,仅限科技研究的主要用途是什么参考使用。车辆高性价比:34637-22-4 BENZYL N-(3-HYDROXYPROPYL)CARBAMATE7-AMCA 马来酰亚胺2252461-33-7,DPPE-叠氮Norbornene-5-TAMRA NorborneneMethyltetrazine-Acid芴甲氧羰基-PEG4-虎珀酰亚胺酯