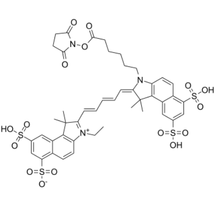
常用名 Cy5.5-N-羟基琥珀酰亚胺酯
英文名 Cy5.5-SE
CAS号 442912-55-2
分子量 1014.13000
分子式 C45H47N3O16S4
适用范围:研发的情况:膏状/粉尘/氢氧化钠溶液储存:保鲜冷库出售:石家庄pg电子娱乐游戏app
动物科学技术不足机构

Sulfo-Cy5.5-E也是种更具强荧光属性的有机有机染料,应归Cy类型荧光有机有机染料其中之一,主要是用做菌物碳原子记号和成相应用领域。该染色剂是Sulfo-Cy5.5的一家并衍生物技术,这当中主要包括一家催化活性酯(-E)官能团,使其够与含氨基的原子核(如血清质、抵抗能力或核酸)时有发生体现。其非常好的的荧光性能指标使其变成 箭头电极、检测平台和探讨分析等行业领域的首要平台,越发在生物技术医疗探讨中极具广泛的的软件。操作方向:海洋生物标记图片符号:原因其独有的光学材料性能,Sulfo-Cy5.5-E被普遍适用于免疫力查测、表面抗原标记图片符号、球膳食纤维阐述、核酸查测等方向。体人体细胞核显像:在体人体细胞核和策划 显像中,是由于其高荧光程度和较长的发送光谱,Sulfo-Cy5.5-E才能可以提供清析的图相,适宜于活体人体细胞核显像。几吨标示:结合实际其与某些Cy颜料(如Cy3、Cy5等)的性能,Sulfo-Cy5.5-E常被使用在几吨标示检测,如普鲁士蓝染色人体细胞术、荧光共对焦电子显微镜等枝术中。大分子式的临床诊断:可与种种测试探针融入用到,应用于大分子式的临床诊断软件中,如PCR、ELISA等技术工艺。就我们大家:陕西pg电子娱乐游戏app
生物体科持有现司销售经营的好产类品类具有有:食材药、减缓剂、自然结果、COF、MOF一人编:三蝶烯ip产业物体、金刚烷ip产业物体、四苯二氧化氮ip产业物体、多胺编、多醛编、联吡啶ip产业物体、卟啉ip产业物体、苯乙炔ip产业物体等;减缓剂&充分染料;食材药及中央体;OLED微电子材料一人编:共轭苯ip产业物体、咔唑、噻吩、苯并呋喃和苝/萘酐ip产业物体等;聚酰亚胺编:聚酰亚胺、二胺和二酐;充分硅编:一人、有恢复备份剂、确保剂和偶联剂等;可光缩聚教学液晶小团伙等。相关联举荐:Alexa Fluor 488 羟胺Alexa Fluor 488 尸胺 AF488 Cadaverine2500973-94-2,Alexa Fluor 488 酰肼Alexa Fluor 488 TFP924660-14-0,AF-488(6-isomer)甲基四嗪Cy5,甲基-四嗪-花青素Cy5Sulfo-Cy7 bis-SESulfo-Cy5.5双琥铂酰亚胺酯