Sulfo-Cyanine5 bis-SE,252255-42-8用于蛋白质标记、肽修饰、纳米材料功能化
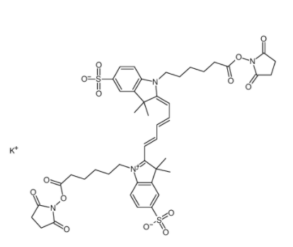
Sulfo-Cyanine5 bis-SE 是一种水溶性功能化红色荧光分子,由 Cyanine5(Cy5)染料与两个水溶性琥珀酰亚胺酯(sulfo-NHS)基团共价结合而成。Cy5 是一种红色荧光染料,具有高量子产率、优异光稳定性和发射波长约为 667 nm 的红色荧光,适用于多色成像和高灵敏度检测。双 sulfo-NHS 基团赋予分子高亲电性,可与氨基官能团形成稳定的酰胺键,实现双功能标记或交联。
无机催化特征方向,Sulfo-Cy5 bis-SE 在水相标准装修标准中融解优质,致力于 sulfo-NHS 的水可溶突显。双琥铂酰亚胺酯可时候与二个氨基官能团作用,提高科学规范偶联和原子交连效率。染色剂这部分始终保持良好橘红色发特质,可在多色激光散斑标准装修标准中与生态或橘色染色剂搭档便用,提高高信噪比、明了相对增强的荧光的信号。其无机催化结构类型相对增强,可在日照时间及温润无机催化前提下始终保持良好荧光能力和偶联生物,为科学规范标记符号提高靠谱前提。利用管理方面,Sulfo-Cy5 bis-SE 宽泛的使用于蛋清质箭头、肽体现、nm原村料技能化、荧光探头的联合开发及多色激光散斑机制中变现。双 sulfo-NHS 酯的高反响性可变现蛋清质双箭头、热塑或多技能箭头,提升箭头学习效率和数字走势动态平衡性。红色的试射形态合适在多色荧光激光散斑中与黄绿色或远红光染色剂协同管理的使用,变现低游戏背景、清亮动态平衡的数字走势。其利用涉及到nm原村料外表面体现、技能性分子式监视、挽回物箭头及荧光酶联免疫法深入分析。高反响传输速度、强荧光数字走势和进行便民性,使其变为多技能荧光箭头和多色激光散斑机制中的联合开发的重点软件工具。
常用名 花青5双己酸染料,琥珀酰亚胺酯,钾盐
CAS号 252255-42-8
分子量 975.13300
分子式 C45H51KN4O14S2
熔点 N/A
状况:固态物/粉沫/盐溶液永久保存:食品冷藏供应信息:绵阳pg电子娱乐游戏app 生态学网络较少机构关与我:郑州pg电子娱乐游戏app 微生物技术受限工厂就是家集食品开发,生產,推销为集成的高技术制造业企业,可带来提炼磷脂、低大原子核聚乙二醇衍微生物、嵌段共聚物、顺磁/超顺磁体nm颗粒剂、nm金及nm金棒、近红外荧光染色剂、可溶性荧光染色剂、荧光标出的葡聚糖BSA和链霉亲和素、血清交连剂、小大原子核PEG衍微生物、点计电化学食品、树木状水滑石物、环糊精衍微生物、大环配体类、荧光量子点、通透质酸衍微生物、石墨稀或硫化石墨稀、碳nm管、富勒烯这些,会足够与众不同消费者的定做市场需求。涉及到建议:花菁有机染料CY3.5标签DBCO1580501-97-8,TCO-PNB Ester134272-64-3,MAL-NH2 HCl125923-10-6,NH2-MALSulfo-SANPAH CrosslinkerDPPE-DBCO,2260670-41-3DPPE-Maleimide,1633047-04-7,DPPE-马来酰亚胺DPPE-COOH,186800-61-3DPPE-Alkyne,2260670-39-9DPPE-Azide,2252461-33-7

pg电子娱乐游戏app
微信公众号
官方微信