RH 795膜电位荧光探针,172807-13-5
英文名 RH 795
CAS号 172807-13-5
分子量 N/A
分子式 N/A
熔点 N/A
适用范围:科学研究动态:固态/粉末状/水溶液永久保存:冷藏箱供给:上海pg电子娱乐游戏app 菌物社会有局限机构
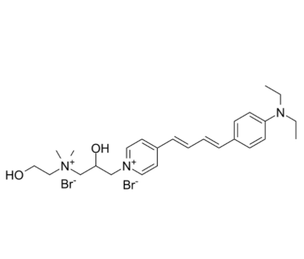
分子结构与化学特征
RH 795 的分子结构可概括为三大模块:
苯乙烯基共轭体系
分子核心为苯乙烯基共轭结构,形成广泛的 π-电子体系,赋予分子强烈的可见光吸收能力和荧光发射特性。该共轭体系对环境极性及膜嵌入状态高度敏感,可在膜表面或不同溶液极性下产生可测量的荧光变化。
疏水性烷基链
RH 795 含有疏水性脂肪链,使分子能够嵌入膜脂双层的疏水核心部分。疏水链长度适中,保证分子在膜表面或膜浅层稳定嵌入,同时允许分子在膜表层自由移动,便于膜动力学研究。
胺盐或季铵正电荷基团
分子末端带有正电荷的胺盐或季铵基团,使其在水性环境中具有良好分散性,并能通过静电作用与膜极性头基区域结合。这一结构还增强了分子在膜表面的定位能力,使其荧光响应更加稳定可靠。
用途与应用
RH 795 的化学结构和光学特性,使其在材料科学、膜体系和纳米材料研究中有多种应用:
膜动力学和膜电位研究
RH 795 可嵌入人工膜或磷脂双层膜模型,通过荧光信号变化监测膜表面分子分布、膜流动性及膜电位变化。
纳米材料表面标记
荧光染料可用于功能化纳米颗粒或膜包覆材料,使其表面形成可追踪的荧光标记层,用于材料表面分析和动态行为研究。
光学追踪与膜环境分析
分子在膜表面的荧光响应可反映膜电位、膜微环境和表面极性变化,适用于光学追踪和膜界面研究。
材料界面极性监测
RH 795 嵌入膜表面后,其荧光信号对极性变化敏感,可用于分析膜-材料界面特性及膜表面局部环境。


pg电子娱乐游戏app
微信公众号
官方微信