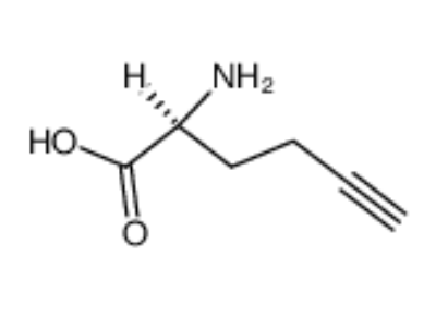
英文名 L-Homopropargylglycine
CAS号 98891-36-2
分子量 127.14100
分子式 C6H9NO2
形态:膏状/颗粒/硫酸铜溶液储存:要在冷藏室保存供应信息:渭南pg电子娱乐游戏app
菌物现代科技有限大公司大公司

L-Homopropargylglycine(HPG) 就是一种包含端炔基(terminal alkyne)的非本身酪氨酸具象化物,其空间框架为甘氨酸(Glycine)的同源物,在酪氨酸骨架的未端构建了丙炔基(–C≡CH)侧链。物理上,它被汇总为α-酪氨酸具象化物,极具基准的α-氨基和羧基空间框架,时候在γ位构建炔基,使其在物理偶联、模块化装饰及物理生物体学的研究中极具特点功效。
化学反应特性:
HPG的化学反应活性主要来源于其端炔基和氨基酸骨架,典型特性如下:
炔基症状可溶性:端炔基可与叠氮有机物(azide)进行铜崔化叠氮-炔烃环加的症状(CuAAC)导致安全稳定的1,2,3-三唑环,做到科学规范、从一而终的偶联。氨基酸等化学症状性:α-氨基和羧基可参与活动长规的肽键建成或酰胺偶联化学症状,中用多肽自动合成或物料效果化。空間人工控制偶联:炔基侧链长宽高较好,可在偶联中实现荧光团、模块团伙或用料底材与蛋白质骨架的空間丢开,削减电磁波辐射。平稳不良反应前提:点物理可在在常温丙烯酸乳液或有机酸饱和溶液标准体系中顺利完成,护理蛋白质骨架和某些皮肤敏感官能团。选用范围:物理功效化核苷酸:HPG成为功效性核苷酸,可引进配位混物、夺原子式链或小原子式标准,构建手性物理和功效化呈现。超链接化学反应管理管理体系:端炔基可与叠氮类原子核效率高偶联,应用于引入荧光探头、多职能原子核或村料信号灯管理管理体系。多肽与氨基酸酶质呈现:HPG可使用天然水安基酸在多肽或氨基酸酶质中引出端炔基,保证事件调查的系统性呈现和偶联。材料和nm顆粒淡化:都可以于汇聚物未端或nm顆粒面上功用化,实现炔基-叠氮点击量现象添加荧光标志或别功用团。手性分子结构式建设方案:L-对映体型式展示手性坏境,应适用手性检查是否分解成或低分子结构式性能化。相应强烈推荐:82436-77-9,BS3 Crosslinker115853-74-2,DMAE-NHS60842-46-8,TRITC-Dextran329912-47-2,L-NorvalineFmoc-L-Photo-Leucine,1360651-24-6大环有机物Alkyne-Diazirine-Mal1681056-61-0,OSMI-1Silane-PEG-COOH