908007-17-0,N-(3-叠氮丙基)生物素胺
常用名 N-(3-叠氮丙基)生物素胺
因为名 Biotin-azideCAS号 908007-17-0 碳原子量 326.41800密度计算公式 N/A 水的沸点 N/A
N-(3-叠氮丙基)生物素胺
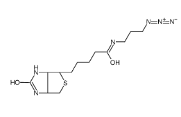
N-(3-叠氮丙基)生物素胺是一种功能化生物素衍生物,其分子结构在生物素骨架上通过3-碳链引入叠氮基(-N₃)和胺基(-NH₂)功能团。叠氮基是一种高反应活性官能团,能够与炔基或环辛炔基分子进行点击化学(click chemistry)反应,从而实现温和、高效、特异的共价结合。胺基提供了化学可修饰位点,用于共价连接其他分子或载体。
该团伙型式中生物制品制品素端出示了高亲和性,可与亲和素或链霉亲和素演变成稳定的融合;叠氮基则出示飞速、温顺的生物制品学拼接力;胺基会与催化活力酯、酸碱化基团或某个生物制品学基团共价融合。三项融合使团伙在生物制品制品箭头、团伙电极实现和模块化原料中拥有*高的灵催化活力。在应用中,N-(3-叠氮丙基)动物技术素胺经常用到于勾勒控制接入方式安全安全体系。假如,在血清质图标或纳米级颗粒肥料功用模块化中,叠氮端可与炔基化氧分子结构化学物质反应,将动物技术素端固定住在对方安全安全体系上。胺基还可以进两步参于化学物质体现,达到多功用模块化的制定。这类双端活性酶的制定保证质量了氧分子结构要在和缓生活条件下达到控制、高效率的接入方式,同時控制动物技术素的亲和功用模块。不仅如此,该大团伙要用于生物体工程大团伙检测器、大团伙截获并且 中药质粒制作。也可以通过生物体工程素端综合亲和素,叠氮端参与到选泽生物,科技人士也可以创建的结构控制、用途多样化的检测器安全体系,完成高选泽性截获和追查。常见作用涉及:高亲和性:生物素端与亲和素结合稳定。
叠氮活性:可参与点击化学实现温和共价连接。
胺基修饰:提供共价结合或功能化位点。
多功能应用:适用于探针构建、蛋白质标记和纳米载体功能化。
总之,N-(3-叠氮丙基)生物素胺是一种结合生物素特异性、叠氮化学活性和胺基修饰能力的多功能分子工具。在生物标记、探针开发和材料功能化中,它提供了高效、可控且灵活的分子平台。
来原主产地:本成品由山东省山东市生产制造,品质质量可靠的,可实现科学实验报告的实际需求彩盒规格为:给予多类品种选取,桶装礼品盒智能化,移动用户可按照其工作的需求选取 50 mg、100 mg、250 mg 或 500 mg成品形态特征:可带来固状、粉尘及液体的形式,适用各不相同化学实验的操作的要放置解释:意见和建议居于底温冷冻冷藏工作环境,尽量避免太阳光照和发潮,以提高新产品可溶性与性能方面安稳厂家介绍英文:西安市pg电子娱乐游戏app 海洋生物的技术有限制子有限公司有限制子有限公司专心致志于数学创新药材传递信息及微米靶向疗法的技术的数学创新和产出。子有限公司厂品区域转化成磷脂、PEG 系类衍海洋生物、嵌段共聚物、微米复合及带磁微米颗粒剂、介孔二氧化物硅、活力性荧光颜料、荧光量子点、打开网页化学物质实验化学试剂及大环配体等两个前沿技术。秉持着数学创新发展理念,锐意创新于为中国国内数学创新医疗机构和涉及到的企业作为优质化量数学创新实验化学试剂,使用数学研究方案的顺遂发展。(信息内容归置:厂家kx,仅限教学科研应用领域)护肤品分享:BODIPY FL histamine,212495-58-42376990-30-4,Thalidomide-O-amido-PEG2-NH2 hydrochlorideBODIPY 530/550 NHS Ester,216961-93-2Alexa Fluor 647 CTB1835759-68-6,1,1,1-Trifluoroethyl-PEG2-azideAzide-PEG-Thiol N3-PEG-SHMQAE氯阴离子荧光检测器 Biotin-4-fluorescein,1032732-74-3AF594 Concanavalin A

pg电子娱乐游戏app
微信公众号
官方微信