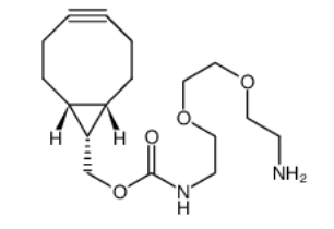
endo-BCN-PEG2-NH2,1263166-93-3功能化分子
英语怎么说名 endo-BCN-PEG2-NH2CAS号 1263166-93-3 大分子量 324.41500高密度 N/A



pg电子娱乐游戏app
微信公众号
官方微信