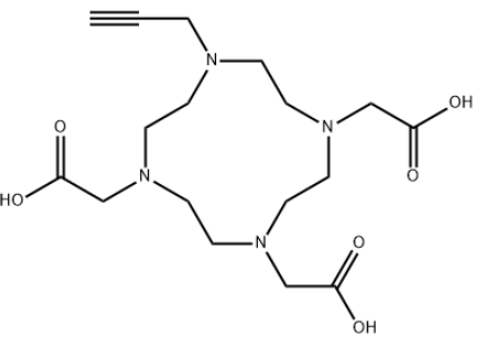
英文名称: DOTA-CH2-Alkynyl (TFA salt)
中文名称: 10-(2-丙基 -1-基) -1,4,7,10-四氮杂环十二烷 -1,4,7-三乙酸,三氟乙酸盐
MF: C17H28N4O6
MW: 384.43
CAS: 1189194-65-7
贷款用途:研发情况下:胶体/粉末状原材料/饱和溶液储存:冷冻制造:兰州pg电子娱乐游戏app
海洋生物高新科技十分有限装修公司

DOTA-CH2-Alkynyl (TFA salt)也是种多齿螯合剂双重性物,由于DOTA骨架,进行在羧酸末梢对接丙炔(alkynyl)本事基并行成三氟乙酸盐,推动了电普通机械渗透性拓张与不稳基本操作的不平衡量。该原子兼备塑料亚铁离子螯合本事和可进几步电普通机械偶联本事,可以用在于原子电极设汁、塑料加上物的研究及本事化小原子构造 。化工构成与类型DOTA-CH2-Alkynyl的体系化是DOTA环,由第十二个氮原子结构构造的第十二元环,能默契配合第十二个乙酸臂成型八齿配位位点。与DOTA相对于,其改良优点体现在:丙炔端基(CH2-Alkynyl):在DOTA羧酸未端完成亚甲基拼接丙炔官能团,提供了了可做出“点开”普通机械(如铜促使叠氮-炔环加强表现)或其它的共价偶联表现的化学活化位点。三氟乙酸盐形势(TFA salt):末梢氨基或羧酸被三氟乙酸盐化,挺高了原子在方法和保管整个过程中的相对稳界定,一同持续改善水可溶和晶粒特征参数。生物学化学式特点层面,DOTA-CH2-Alkynyl (TFA salt)为小白至淡茶色粉尘,溶解于正负极充分溶液如DMF、DMSO、乙腈,水可溶性较大。其原子核量较大,设备构造对称轴且整理,助于均一配合默契物和偶联化合物的进行。电学技能与的作用共识机制DOTA-CH2-Alkynyl分子式依照了俩个层面特点:
金属离子螯合能力
DOTA骨架提供八齿配位位点(四个氮原子和四个羧酸氧原子),能够与多种金属离子形成高度稳定的配合物。配合物具有热力学稳定性高、动力学惰性强的特点,金属离子被牢固固定于DOTA环内,减少解离和非特异性结合风险。
化学偶联活性
丙炔端基作为末端功能团,具有很高的反应活性,可与叠氮、卤代烷或其他可进行炔-叠氮环加成的分子进行共价偶联。该设计为分子功能化提供了灵活性,可实现分子标记、分子探针构建或功能性小分子连接。
更多企业:西安市pg电子娱乐游戏app
动物体科枝受限制的子工厂也是家去做科研开发微动物培养基、多肽、小氧原子核PEG随之出现物体、石墨炔(graphyne)亮光相关素材、金属材质听取物亮光相关素材、超氧原子核、光刻胶、催化反应剂、光电技术相关素材、MAX相工业陶瓷,碳nm管、奶茶原料、nm相关素材、钙钛矿、核胆固醇热塑剂、光致使剂,脂质体、分解磷脂的研发部门、设计分解、生產和销量的高科枝动物体科枝受限制的子工厂相关最新推荐:RGDtumor靶向疗法肽JOE alkyne, 6-isomer;CAS:125607-09-2139115-90-5,叠氮-二聚乙二醇,2-(2-Azidoethoxy)ethanol3-Azido-1-Propanol,72320-38-83-Azidopropanoic acid,CAS:18523-47-2,叠氮丙酸7-Azido-Heptanoic Acid,7-叠氮庚酸,CAS:135920-28-48-Azido-octanoic acid,217180-76-2,MFCD24452473824426-32-6,Azidoacetic acid NHS ester氨基-六聚乙二醇-叠氮,957486-82-7,Azido-PEGn-amine