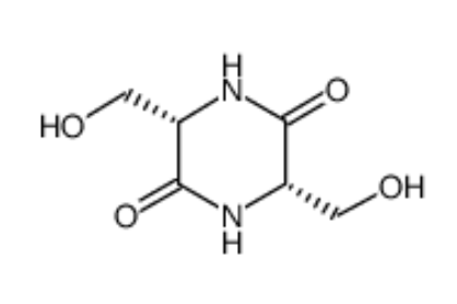
英文名 Cyclo(-Ser-Ser)
CAS号 23409-30-5
分子量 174.15500
分子式 C6H10N2O4
情况下:液态/颗粒/氢氧化钠溶液保管:保鲜冷库厂家直销:陕西pg电子娱乐游戏app
生物体社会比较有限企业

Cyclo(L-Seryl-L-Seryl) 就是种小型的环状二肽,由两大丝氨酸(Ser, S)残基形成了。利用N-后部氨基与C-后部羧基合拢形成了环状机构。环化传递团伙超高稳定性的空间构象和电催化免疫原性性,使其在电催化探究、材质科学学包括团伙识别图片探究中兼备的难忘價值。环状二肽主要是因为团伙量小、机构紧身、构象钢铁的坚韧性,常被看做团伙设定、特点化材质包括团伙仿真探究的框架信息模块。
从物理化学构成的来讲,丝氨酸为含羟基的化学性质胺基酸,其侧链羟基带来了氢键转变成位点,可陆续参与碳原子间和碳原子室内的共同角色。Cyclo(L-Seryl-L-Seryl) 的环化构成的将两位丝氨酸残基收缩成环,使羟基在发展空间中呈固定位置排顺。该排顺既担保了碳原子室内氢键和疏水角色的固定量分析,又使碳原子总布局转变成固定的环状构象。仍然丝氨酸侧链羟基有着相应的化学性质,该二肽在水稀硫酸中的表现出相应的降解性,一并环化构成的资料了碳原子的总布局固定量分析。
在物理防御化学上性等方面,Cyclo(L-Seryl-L-Seryl) 通畅为白色的至淡黄色金属粉,微溶于导电性设计容剂如甲醇、甲醇、二氯二氧化氮,也可在自来水中限制溶水。其环状成分和导电性残基搭档,使碳原子在悬浊液中建立平稳的前景排布,与此同时可使用氢键和碳原子间彼此之间帮助与一些碳原子去使用性联系。该二肽可使用高效化高效液相色谱(HPLC)去纯化,质谱(MS)该用于碳原子量填写,核磁震动(NMR)该用于环化构象剖析和碳原子色度验正,确保实验所设计可重新性和数剧安全可靠度。环化成分改善了碳原子在实验所设计操作方法和的材料建设中的平稳性。
在生物上的测试和食材数学中,Cyclo(L-Seryl-L-Seryl) 的环化设计和羟基残基规划具备了了差异化化的职能。丝氨酸的羟基就能够成型氢键,调低原子核间能够 使用,并可当为原子核偶联和职能化的的的反应位点。环化设计保持俩个残基的调整个人三维空间构型,为测试原子核间能够 使用、折叠式自然规律及自組裝个人行为具备了安全可靠建模方法。可以通过生物上的装饰,可在二肽羟基或后部引出官能团,变现原子核偶联、图标或外面职能化,为了寻找其在测试保障体系中的软件范畴。环化设计保持原子核个人三维空间排布的调整性,改善生物上的装饰的选取性和质量,而且减小非炎症因子聊天的的反应。有关于分享:DBCO C6 Amine,1255942-05-2disulfo ICG carboxylic aciddiSulfo ICG Me tetrazinediSulfo ICG MaleimideDiSulfo ICG HydrazideDisulfo-ICG-alkyne,二磺酸吲哚菁绿炔烃diSulfo ICG Azidedisulfo ICG amine,二磺酸吲哚菁绿氨基disulfo ICG DBCO