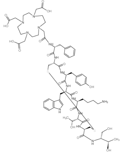
英文名 DOTA-(Tyr3)-Octreotide acetate salt
CAS号 204318-14-9
分子量 1421.64000
密度 1.46g/cm3
沸点 1723.7ºC at 760 mmHg
分子式 C65H92N14O18S2
闪点 996.2ºC

DOTA-[Tyr³]-Octreotide 就是一种特点化化学物质分子式式,由环状多齿螯合剂 DOTA 与改性材料环状多肽 [Tyr³]-Octreotide 确认共价联系成型的多特点分子式式。DOTA-[Tyr³]-Octreotide 基本由三部曲排序成:核心内容螯合剂 DOTA、进行连接链已经环状多肽 [Tyr³]-Octreotide。DOTA(1,4,7,10-四氮杂环[2.2.2.2]四十烷-1,4,7,10-四乙酸)有的是种环状多齿螯合剂,其架构含盖4个氮水原子结构和4个羧基,带来各种方面配位位点,使原子结构满足特别安全的合金金属络合专业能力。环状 DOTA 环的刚度和强度架构会提升原子结构在溶剂中的个人空间安全性,另外羧基和氮水原子结构为生物学反应迟钝带来活力位点,可与多肽或一些有机物原子结构养成共价键。[Tyr³]-Octreotide 是 Octreotide 的ip产业环状多肽,在三是位氨基酸等上构建了酪氨酸(Tyr)残基,拥有原子非常多的物理药剂学不良反应位点。酪氨酸侧链的酚羟基可顺利通过酰胺化、醚化或其余充分物理药剂学方式方法去表达,关键在于为原子的用途化给出了非常多协调性性。环状多肽框架能保证了原子整体性的构象可靠性,并以原子在氢氧化钠溶液中增加匀分散式给出了了强势。多肽细节描写中的氨基和羧基也常用于与 DOTA 的羧基或碱化基团去共价接触。
DOTA-[Tyr³]-Octreotide 的结合一般其中包括多步催化的发生不良反应。前提是,结合或换取环状 [Tyr³]-Octreotide 多肽,并对其吸附性官能团做好保护好或用途化正确处理,便前边续的发生不良反应选出择性相联系 DOTA。继而,用酰胺化或打开催化等方式方法将 DOTA 螯合剂与多肽相联系,造成增强的共价键。在全结合方式中,严谨掌握溶液型、气温、pH 值及的发生不良反应时刻是保持终产品高溶解度和高成品率的关键所在。终产品一般用高效化液质色谱(HPLC)、质谱(MS)及磁共振检查现象(NMR)做好构成验收与溶解度浅析。
在电学性能领域,DOTA-[Tyr³]-Octreotide 具有特征不稳性和实用多用途性。DOTA 供给的螯合用途为了确保团伙可与材料化合物成型高不稳性络合物,而环状多肽的区域构型彰显团伙硬性和溶于性,为了确保其在水相或充分高沸点溶剂如表匀分散性。酰胺键连到和多肽环化构型为了确保团伙在室温及中性化 pH 条件下常期不稳定性不稳,电学的结构完整版。酪氨酸侧链的酚羟基增多了电学修饰语和实用用途化实力,使团伙应具进十步改良和多实用用途化的应该。相关内容推建:115853-74-2,DMAE-NHS60842-46-8,TRITC-Dextran329912-47-2,L-NorvalineFmoc-L-Photo-Leucine,1360651-24-6大环有机物Alkyne-Diazirine-Mal1681056-61-0,OSMI-1Silane-PEG-COOH1802908-03-7,MethyltetrazineIC MethylTetrazineFM 1-43膜电极电位荧光检测器,149838-22-2RH 414膜电势荧光测试探针,161433-30-3