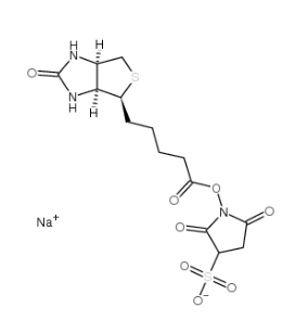
实用名 生态学素 3-磺酸基-N-羟基琥铂酰亚胺钠盐 用英文怎么说名 biotin sulfo-osuCAS号 119616-38-5 原子量 443.42800密度计算 1.64g/cm3 凝固点 N/A

氧化学式 C14H18N3NaO8S2 融点 N/A商品简价:
基本概述
微菌物体素-磺酸蜜腊酰亚胺酯有的是种适用的微菌物体素化采血管,就能够经由共价键将微菌物体素建立到蛋清质、肽链或别的含氨基的团伙上。微菌物体素有的是种水可溶维生素D,其与亲和素或链霉亲和素有很大的构建工作能力,本身高特女性朋友的构建特点促使微菌物体素-磺酸蜜腊酰亚胺酯在标记图片、加测及团伙猎取中被丰富软件应用。
化学结构与性质
该化学采血管由海洋微生物素原子就能够有一个水阴离子型磺酸接触臂与特异性NHS酯(N-羟基琥铂酰亚胺)相互连接。NHS酯可与淀粉酶质或多肽的赖氨酸侧链自在氨基发生发生反應,转换成安全的酰胺键,然后进行海洋微生物素化。磺酸基团的会存在增长了化学采血管的水阴离子型,使其就能够在生物学标准下一直容解并发生反應,不需要有机质相转移催化剂介入手术。
反应特性
生物制品体素-磺酸蜜腊酰亚胺酯就也能在无刺激的pH要求下迅速与氨基发生发应,基本上在pH 7–9的抗震保障体系中做好。发生发应后添加的酰胺键相对稳定,就也能耐热大部分数生物制品体有机肥料化学化学进行实验要求,比如无刺激烧水和轻微有机肥料化学石油醚场景。除外,磺酸基团不单提生了水无水磷酸氢,还下降了对有机肥料化学石油醚的依赖关系,使基本操作更快捷且副发生发应较少。
应用领域
菌物素-磺酸虎珀酰亚胺酯多方面迅猛发展于菌物氧碳原子结构标上与测试实验所。它要用于血清质或多肽的菌物素化,更方便事件调查经由亲和素-酶偶联安全体系展开测试或纯化。在抗体查重学实验中,该实验试剂要用于分离纯化菌物素标上抗体阳性或抗原,以资料信息测试准确度度。在体内部菌物学和氧碳原子结构菌物学中,也要用于膜血清或体内部面上氧碳原子结构的菌物素化,更方便事件调查氧碳原子结构驯服、抗体查重石雕文化沉淀或荧光标上。
储存与注意事项
动物素-磺酸蜜腊酰亚胺酯大多数为纳米银溶液状或冻干的方式,融解于水或抗震液中。犹豫NHS酯对水比较敏感,贮存时遮光、底温干热坏境下存放,并妥当逃避经常性露出于水或水分中,以要确保特异性。利用前大多数融解在合适的抗震液中,并在瞬时候内到位体现,以要确保动物素化错误率。
小结
怪物制品素-磺酸虎珀酰亚胺酯借助水无水磷酸氢磺酸连接方式臂和活力NHS酯,改变了科学规范、温顺的怪物制品素化生理体现。单凭其水无水磷酸氢、生理体现更快的且提取物保持稳定的特征参数,它在高蛋白质箭头、分子式获取或是探测数据分析中具备有常见的软件颜值,是检测室通用的怪物制品箭头软件工具一种。收入产址:本设备由甘肃省绵阳市生產,产品正规,可能够满足科技研究工作的的需求彩盒标准:提高多种多样要求决定,玻璃瓶打包敏锐,我们可可根据实验性各种需求决定 50 mg、100 mg、250 mg 或 500 mg品牌性状:可提拱液体、颗粒及溶剂行式,融入有所差异进行实验运行使用需求儲存讲解:改进措施放置超低温冷库周围环境,逃避光线照射和潮,以保证产品的活性氧与安全性能动态平衡知名品牌分享:郑州pg电子娱乐游戏app
生物学科技现有装修装修公司现有装修装修公司专心致志于科技药物剂量转递及微米靶向疗法新技术的研发部门和研发。装修装修公司成品包函结合磷脂、PEG 系例繁衍物学、嵌段共聚物、微米彩石及永磁铁微米粒状、介孔二腐蚀硅、活力性荧光有机染料、荧光量子点、点一下生物微生物培养基及大环配体等几个方向。始终坚持革新工作理念,坚持创新驱动于为在国内科技结构和有关系组织作为优质化量科技微生物培养基,支撑完美研究分析的顺畅做好。(内部整里:小易kx,只供科学种类)类产品引荐:BODIPY FL carboxylic acid60239-18-1,DOTA能与镧系不锈钢钆融合构成互相配合物当作MRI造影剂2382994-65-0 Sulfo-Cyanine5.5 azidediSulfo-Cy3 alkyne,2055138-88-8钠化合物显示探头,ENG-2CF 640R CTBiFluor 750 WGADIG Styramide