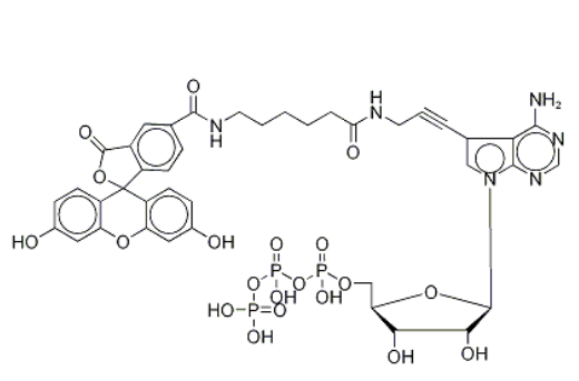
英文名 Fluorescein Alkynylamino-ATP
CAS号 185971-89-5
分子量 1030.713723
分子式 C41H41N6O20P3
模式:混合物/粉状/饱和溶液留存:速冻批售:山东pg电子娱乐游戏app
生物工程科技公司的限制公司的

FITC Alkynylamino ATP 都是种荧光图标核苷酸延伸物,其全通称荧光素(Fluorescein, FITC)绘制的炔基氨基腺苷三磷酸(ATP)延伸物。标记图片原则与化学反应原则FITC Alkynylamino ATP 的重点社会价值是因为将荧光手机数字信号与核苷酸技能相结合,使其既能参入 ATP 依赖症的化学上或酶发生反应,又可能够荧光手机数字信号来验测。其符号基本原理主要是分为几个层面:酶学不起作用力量:FITC 装饰和炔基氨基的添加一般会偏态干预 ATP 被酶判别的力量,由此行对于酶底物或紧密结合分子式,使用在的研究 ATP 信任性酶动力系统学。生物箭头程度:炔基氨基功效快速可用于鼠标点击生物不良反应迟钝,与叠氮氧化物型成共价键,推动对象碳原子的可控性拼接。紧密结合 FITC 的荧光性能,不能在不良反应迟钝完整后之间做出web3d验测。广泛应用
酶动力学研究
FITC Alkynylamino ATP 可作为荧光标记的 ATP 底物,用于研究激酶、ATP 酶及其他 ATP 依赖性酶的反应速率、结合特性及抑制作用。通过荧光强度变化,可以实时监测酶促反应。
分子互作分析
结合炔基功能,通过点击化学可将 FITC Alkynylamino ATP 与蛋白质或其他分子共价标记,用于研究 ATP 与靶分子结合的定位和分布。
荧光成像
荧光素的绿色荧光特性允许通过荧光显微镜、流式细胞仪或荧光光谱仪进行成像与定量分析。在细胞或体外体系中,可用于观察 ATP 类分子的动态分布。
多功能标记实验
FITC Alkynylamino ATP 可与其他荧光染料或分子标记系统联合使用,实现多重标记、同时检测多种分子相互作用,为复杂样本分析提供工具。
光于我门:咸阳pg电子娱乐游戏app
生物体工程高新科枝信息十分有限的单位是一个家担任原科药、MOF,阳离子溶剂 ,PEGip产业物工程、研究化学制剂、多肽、光电工厂资料、碳纳米级技术管、纳米级技术资料、脂质体、转化成磷脂的研究开发、制作转化成、的生产和业务员的高高新科枝信息生物体工程高新科枝信息十分有限的单位想关建议:485397-12-4,BODIPY TMR NHSBODIPY FL amine,2183473-03-0Fac-Ir(dFppy)3,391665-84-2DBCO BODIPY FL,2093197-94-3MQAE,162558-52-3,氯铝离子荧光检测器Methyltetrazine Acid,1380500-88-8BODIPY FL acid,165599-63-3146616-66-2,BODIPY FL NHSBODIPY 493/503 acid,216961-95-4