cas:1248343-67-0,DOTA-Ala-羧酸的应用
发布时间:2025-09-08     作者:zyl   分享到:
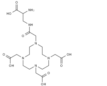
英文名称: DOTA-Ala
MF: C19H34N6O9
MW: 490.51
CAS: 1248343-67-0

DOTA-Ala-羧酸(DOTA-Ala-COOH) 都是种由单独某个蛋白质丙氨酸(Ala)与多齿大环螯合剂 DOTA偶联确立的小氧团伙式类化合物。该氧团伙式整合了蛋白质精彩片段的药剂学可装饰性与 DOTA 的黏结正离子螯合性能,是一种先进典型的 肽-螯合剂黏结氧团伙式。碳原子构成特征DOTA 螯合个部分DOTA 就是个含12个氮原子团的12元环大环成分,外边中带12个羧酸基。DOTA 的大环骨架和多齿配位功能使其够与多个合金阴阳离子导致动态平衡的八配位螯合物。螯合造成的挽回物享有特别电力学稳固性和耐电离性,是科学研究金属制-配体互为用途的主要建模 。Ala(丙氨酸)细节描写丙氨酸就是一种结构的简短的绿色氨基酸等,侧链为甲基。该氨基酸等带来了了随意调节节的催化位点,同時在侧链小,就不会呈现取得发展空间障碍。Ala 的氨基端利用共价键与 DOTA 偶联,C 端开展公民权羧酸基(-COOH),方便于再次一个脚印化工表达或与同一有机物偶联。羧酸端(-COOH)提取的羧基这样不仅改善碳原子综合水无水磷酸氢,还是可以是进1步功能模块化的表现位点。该设置使 DOTA-Ala-COOH 既具备着螯合系统,又保存了碳原子诞生提升空间。用导向配位催化模型工具探析DOTA-Ala-COOH 是可以是黑色金属螯合学习型号,使用挑战配位常数、螯合趋势学及热结构力学动态平衡性。是因为成分方便,也能降低复杂的因素分析电磁波辐射,鼓起 DOTA 的配位性状。氧分子检测器制作根据与合金阴离子结合在一起,建成维持结合物,也可以于研发碳原子掌握、表现转导或示踪保障体系的创设。納米物料与能力化外表面羧基和氨基为文件表面能修饰语带来催化位点。DOTA 一些的的原材料结合起来效率均可为的原材料增大的原材料出现异常或催化剂的作用功用。多功能工具性原子搭配可在终端羧基处偶联荧光基团、配位金属制或同一用途团伙,达成多用途化体系中制定。简单的结构设计以便于用作框架骨架来原子核过程中和物料创新。相关安利:Sulfo Cyanine3-NHS,146368-16-3Sulfo SANPAH Crosslinker,102568-43-4DBCO-BODIPY FL,2093197-94-320379-59-3,4-azido-4-deoxy-D-glucosemFluor Violet 540 WGADBCO CONH S S NHS,1435934-53-4AF 647 Maleimide,1825332-75-9BHQ3 COOH,1338332-66-3BHQ3-Amine,1661064-89-6NAI Azide,1612756-29-2Azidoacetic acid NHS,824426-32-6