cas:87876-22-0,氨基鬼笔环肽的应用领域
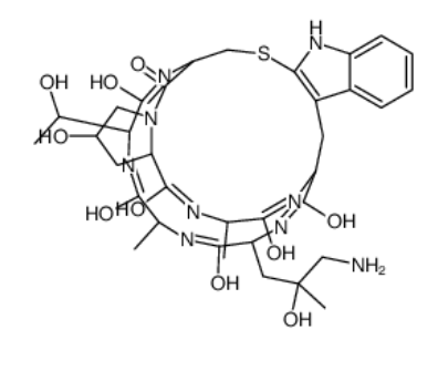
氨基鬼笔环肽是由有毒真菌 毒蝇鹅膏(Amanita phalloides) 中提取的七肽环肽衍生物 鬼笔环肽(Phalloidin) 修饰而来。鬼笔环肽因其能高特异性地结合并稳定 肌动蛋白(F-actin),长期被用作细胞骨架研究的重要工具分子。氨基修饰型鬼笔环肽在天然分子的基础上引入了 伯胺基团(–NH2),扩展了其在生物偶联和探针制备中的应用范围。
1. 分子结构特征与功能策略鬼笔环肽是类七肽环肽毒物,团伙中包含的稀缺了的 色氨酸衍生物物与硫醚桥,结构的宽敞固定。其功用制度是与 F-肌动核蛋清质丝(玻纤化肌动核蛋清质)上的特定的位点通过,特殊抑制作用肌动核蛋清质丝的去缩聚物,同時力促 G-肌动核蛋清质向 F-肌动核蛋清质的缩聚物。氨基鬼笔环肽在设备构造上抹去了相应高亲和搭配实力,此外由增加传入了伯胺基团,使其还可以与 NHS 酯、异硫氰酸酯、荧光颜料、奈米粒子或生物学素衍生产品物学 偶联,而还原成为多性能物理探头。2. 应用区域细胞骨架成像
氨基鬼笔环肽最重要的应用是通过荧光染料修饰,制备出 荧光标记的 Phalloidin 探针(如 Alexa Fluor-Phalloidin、FITC-Phalloidin、TRITC-Phalloidin 等),在显微成像中高特异性地染色 F-肌动蛋白,广泛用于细胞骨架研究、迁移分析和形态学研究。
超分辨成像(Super-resolution microscopy)
在 STED、STORM、PALM 等先进成像技术中,荧光标记的氨基鬼笔环肽是标记肌动蛋白丝的理想工具,能够提供纳米级的空间分辨率。
药物筛选与细胞生物学研究
由于肌动蛋白动态变化与细胞运动、信号传导和疾病(如癌症、神经退行性疾病)密切相关,氨基鬼笔环肽衍生物常用于药物作用机制研究和细胞信号通路分析。
生物偶联与纳米探针制备
氨基鬼笔环肽可与生物素结合制备 生物素-Phalloidin,用于亲和素-链霉亲和素系统的多重检测;或与纳米颗粒结合,开发新型高灵敏度成像探针。

英文名 ((R)-4-Hydroxy-4-methyl-Orn⁷)-Phalloidin
CAS号 87876-22-0
分子量 787.88300
密度 1.49g/cm3
沸点 1365.6ºC at 760mmHg
分子式 C35H49N9O10S
熔点 N/A
闪点 779.7ºC
相关我门:浙江pg电子娱乐游戏app 微生物制品科学技术司有效司就是家任职原石药、MOF,正离子液滴 ,PEG衍微生物制品、成果转化采血管、多肽、光电集团建材、碳奈米级管、奈米级建材、脂质体、分解磷脂的产品开发、个性分解、制作和出售的自动化创新司微生物制品科学技术司有效司相关引荐:DusQ 21 COOH,DusQ 21羧酸DusQ1 dT phosphoramiditeDusQ2 dT phosphoramidite,DusQ2dT亚磷酸酰胺DusQ1 amidite, 5'-terminal374591-98-7,DusQ2 phosphoramidite荧光猝灭剂DusQ21 COOH,1200894-41-21702967-37-0,Vipivotide tetraxetan (PSMA-617)螯合剂1006711-90-5,DOTA MaleimideDOTA Zoledronate,1908409-18-6123317-52-2,DOTA benzeneDOTA-CXCR4-L

pg电子娱乐游戏app
微信公众号
官方微信