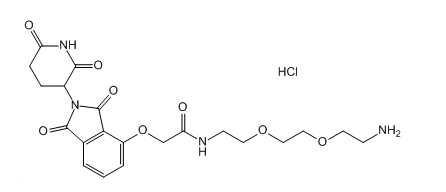
Thalidomide-O-amido-PEG2-NH2.HCl 2376990-30-4 萨力多胺-O-AMIDO-二聚乙二醇-C2-氨基盐酸盐
车辆简单介绍:PEG突显剂伴随着时间推移均原子核量的不相同,成分还是有性别差异。从没有颜色无臭乳白色液态体至蜡状粉状。伴随着时间推移原子核量的扩大,其吸潮本事相对应的减低。 中文字幕品牌:沙利度胺-O-酰胺-二聚乙二醇-氨基稀盐酸盐英文音标各称:Thalidomide-O-amido-PEG2-NH2.HClCAS No.:2376990-30-4繁体中文俗名:萨力多胺-O-AMIDO-二聚乙二醇-C2-氨基酸洗盐用英文怎么说又名:Thalidomide-linker 14设备含量:≥95%大分子结构:C21H27N4O8.Cl节构式:



pg电子娱乐游戏app
微信公众号
官方微信