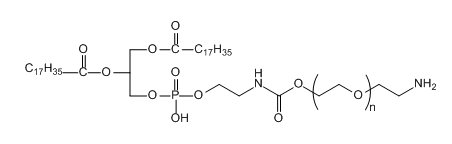
DSPE-PEG-NH2 474922-26-4 DSPE-PEG-Amine 磷脂-聚乙二醇-氨基
食品百科:PEG呈现剂现在评均氧氧分子量的不同于,规定性也存在对比。从结晶体无臭胶状透明液体至蜡状无水硫酸铜。现在氧氧分子量的增长,其吸汗学习能力特定缩减。 简体英文姓号:二硬脂酰基磷脂酰乙酸乙酯胺-聚乙二醇-氨基英文字母各称:DSPE-PEG-NH2CAS No.:474922-26-4英语又名:DSPE-PEG-Amine物料饱和度:≥95%形式式:



pg电子娱乐游戏app
微信公众号
官方微信