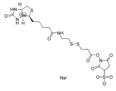
英文名 NHS-SS-biotin
CAS号 122266-55-1
分子量 606.69
分子式 C19H28N4O6S3

Biotin-SS-NHS ester,即 NHS 酯化的二硫键微微海洋微菌物制品素衍微微海洋微菌物制品,一种模块性微微海洋微菌物制品素电学制剂,具有广泛性用到淀粉酶质、抗原、多肽和其它的微微海洋微菌物制品大氧氧分子的记号及驯服。该大氧氧分子依照了微微海洋微菌物制品素的高沟通协调能力、NHS 酯的氨基偶联特异性已经可抹除二硫键的稳定性,是微微海洋微菌物制品电学和大氧氧分子微微海洋微菌物制品学科学研究中的重要的工貝。化工结构的上,Biotin-SS-NHS ester 蕴含以下三个关键所在个部分:生物学制品素本质、二硫键区间链(disulfide linker)和 NHS 酯官能团。生物学制品素授予该碳原子与亲和素(Avidin 或 Streptavidin)间高韧性度非共价构建的能力,构建常数约为 10^-15 M,可以用于极有效率驯服和固定好制定目标碳原子。二硫键区间链出示了实时控制的可恢复备份成性,能够 恢复备份成标准可建立标出物的保持。NHS 酯则可与核胆固醇或多肽碳原子上的氨基(-NH2)共价构建,产生比较稳定的酰胺键,建立极有效率标出。在水相和身体條件下,NHS 酯与氨基的偶联响应都极具高特喜欢的人和最快原因学,一般来说在 pH 7–9 的缓冲器装修标准中开展,响应导出物安稳且可持久另存。二硫键的可展现性可使得标识物在要求时可顺利通过展现剂(如 DTT 或 β-巯基工业乙醇)挥发目的原子核,这在蛋白酶质纯化、功效钻研和稳定挥发装修标准中都极具必要实际意义。采用层面,Biotin-SS-NHS ester 能作于蛋白质酶质和免疫抗原的动物技术素化标出,以致经过亲和素-动物技术素软件系统保证 有效捉捕、查测和三维成像。列举,标出免疫抗原后,可与亲和素磁珠根据,于相关蛋白质酶的丰度和剥离 ;在荧光或酶标查测中,可经过亲和素-荧光素或亲和素-HRP 保证 移动信号图像放大。光于咱们:西安市pg电子娱乐游戏app
动物技术科持限制的司限制的司是一个家从事专业辅料药、MOF,亚铁离子液状体 ,PEG衍工作品物技术、科研课题免疫试剂、多肽、微电子村料、碳納米级管、納米级村料、脂质体、分解成磷脂的新产品开发、全屋定制分解成、工作和推广的高科持限制的司动物技术科持限制的司限制的司相关的比较适合:BCN-succinimidylester,1516551-46-4,BCN-琥铂酰亚胺酯391683-95-7,POPd3,5-Dinitro-1,2-phenylenediamine,3694-51-71854034-70-0,双巯基磺酸四聚乙二醇二苯基环辛炔19263-22-0,1-Azido-2-bromo1384485-04-4,5-羧基荧光素-二苯并环辛炔1964503-36-3,NH-BIS(二聚乙二醇-叔丁酯)