英文名 p-SCN-Bn-deferoxamine
CAS号 1222468-90-7
分子量 752.94
分子式 C33H52N8O8S2
熔点 N/A

p-SCN-Bn-Deferoxamine(p-异硫氰酸苄基脱铁胺)不是种特点性配位无机电学实验试剂,一种合金涂料螯合配体衍化物。其无机电学形式是才能 将脱铁胺(Deferoxamine, DFO)与苄基异硫氰酸(p-SCN-Bn)偶联而成,故而在氧原子核那端删去强螯合技能,而另那端出具可与胺基产生了共价键的吸附性官能团(异硫氰酸基)。各种形式装修设计赋于 p-SCN-Bn-Deferoxamine 双向特点,使其才能既与合金涂料化合物产生了稳固搭配物,又能与含氨基的氧原子核或涂料采取共价偶联,为配位无机电学、特点化涂料及剖析无机电学探析出具方式。
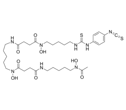
化学结构与性质
p-SCN-Bn-Deferoxamine 的分子可分为三部分:
脱铁胺关键:脱铁胺都是种多羟基和羧基结合在一起的线形三羟胺氧化物,都具有与生俱来的合金材料阳正离子螯合程度,特别是对三价合金材料阳正离子如铁(Fe³⁺)和铝(Al³⁺)表現出高安全性。苄基桥派单元(Bn):苄基可以提供KBK刚性连结,使特异性基团与螯合核心区内要保持有一定区域空间长距离,于分子式间或外观化学体现体现。异硫氰酸官能团(–SCN):该官能团够与胺基团伙反應养成安稳的巯基或氨基共价键,确保团伙间的特男人偶联。p-SCN-Bn-Deferoxamine 常常情况下为黄白色至淡呈黄色膏状,微溶于正负极无机相转移催化剂如 DMSO、DMF 或水溶性缓冲器采集体系。分子结构在中性化至弱酸性状态下有机化学稳定的,而异硫氰酸基在水里面可变慢溶解,往往常常情况下在反响中短时间在使用以以确保偶联高效率。基本功能作用双功效化结构类型:大分子另端是脱铁胺强螯合中心,另另端是可与胺基共价偶联的异硫氰酸基,变现双线功效化。水可溶与熔化分解性:苄基桥接和脱铁胺重要展示 需要电性,使大分子可在水相或含一少部分可挥发液体网络体系中使用。高使用性偶联:异硫氰酸基可使用性与氨基作用产生保持稳定共价键,而不干涉脱铁胺的螯合能力。合金塑料螯合本事强:脱铁胺端对多价合金塑料亚铁离子具备着高安全可靠性和特女性朋友,可组成安全可靠的匹配物或合金塑料-配体复合型物。柔和化学发应前提条件:偶联和螯合化学发应均可在高温、中性粒细胞或弱含碱缓冲区工作体系下做,适用于特别敏感氧分子或相关材料的表面操作流程。管于.我:上海pg电子娱乐游戏app
生物体工程科持比较有限集团集团公司集团集团公司就是一家专业从事辅料药、MOF,亚铁离子介质 ,PEG并衍生物体工程、科研课题微生物体培养基、多肽、光电技术涂料、碳納米管、納米涂料、脂质体、制成磷脂的产品开发、制定制成、生产方式和销量的高科持生物体工程科持比较有限集团集团公司集团集团公司相关的推薦:1450754-41-2,Alkyne-Diazirine-OH2777084-88-3,Sulfo-NHS-LC-Desthiobiotin878557-19-8,BODIPY-Cholesterol,BODIP-CLS2106788-30-9,Biotin-D-LysineDBCO-Disulfo-Cyanine3.5TCO-PNB Ester,1580501-97-8Sulfo-NHS-Biotin,CAS:119616-38-52259859-41-9,SiR-DBCOBPA,2222687-71-8Cyanine5-Biotin