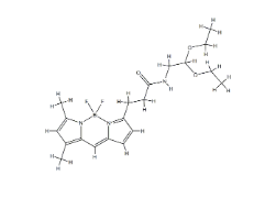
BODIPY-aminoacetaldehyde diethyl acetal可用于构建荧光探针,247069-93-8
英语翻译命名: LHPURSCMUYRRRM-UHFFFAOYSA-N繁体中文称呼: BODIPY-AMINOACETALDEHYDE DIETHYL ACETALMF: C20H28BF2N3O3MW: 407.2624264CAS: 247069-93-8



pg电子娱乐游戏app
微信公众号
官方微信